找回密码
 点我注册

QQ登录

只需一步,快速开始

[原创] 古龙论还珠楼主__暨《蜀山》大系滋生问题求索

[复制链接]
发表于 2024-8-19 10:00:18 | 显示全部楼层
半剑飘东半剑西 发表于 2024-8-19 09:51
而 “第一回 畫船簫鼓節應天中 客邸風塵驚逢異叟”
       的确属于还珠楼主小说《紫電青霜》,初 ...

谢谢,明白了,我一度以为是诸葛青云的《紫电青霜》,但看了看文本,也不对,原来是王度庐的。
回复

使用道具 举报

发表于 2024-8-19 17:19:14 | 显示全部楼层
本帖最后由 陈文玑 于 2024-8-19 17:23 编辑

半剑道兄,请问可以提供还珠楼主署名“木鸡”发表在《新北京报》副刊的《珠还》一文吗?
我看到李永明先生的文章引用此文,资料出处为该报1939年5月1日至11月6日的北京图书馆胶片影印本。

点评

一样万千感谢!非常钦佩您的民国档案的实际工作。  发表于 2024-8-19 20:15
另一是政治人物,发表《蔡公時弔黃花崗烈士詩》等,也不是还珠楼主。  发表于 2024-8-19 18:56
抱歉,找不到您需要的资料。民国署名木鸡的作家,找到多篇文章,与还珠楼主不相关。 笔名木鸡者,起码有两位,一位还翻译了外国论文《希特勒是否要東進?(特稿)》 精通外文,不是还珠楼主。另一是政治人物,发..   发表于 2024-8-19 18:55
回复

使用道具 举报

 楼主| 发表于 2024-8-20 11:54:22 | 显示全部楼层

      在一本文献少被提及的民国杂志上,找到还珠楼主罕见的以原名李寿民发表的作品,时间紧,来不及扫校,原图像照刊。

                还珠楼主原名发表《脂砚斋本红楼梦》等散文.民国《茶话》杂志第9期 92页.jpg
      图  还珠楼主原名发表《脂砚斋本红楼梦》等散文.民国《茶话》杂志第9期 第92页

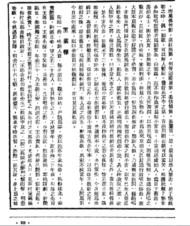
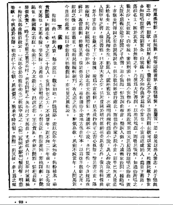
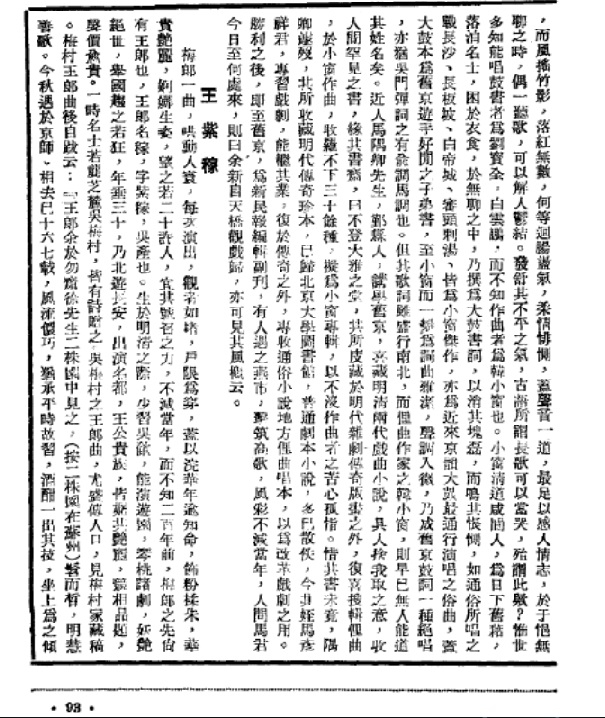
       上图尾部是《韩小窗》(上),下图是《韩小窗》(下),

               还珠楼主原名发表《韩小窗》《王紫稼》等散文.民国《茶话》杂志第9期 93页 .jpg
      图  还珠楼主原名发表《韩小窗》《王紫稼》等散文.民国《茶话》杂志第9期第93页

             还珠楼主原名发表《王紫稼》等散文.民国《茶话》杂志第9期 94页 .jpg
      图  还珠楼主原名发表《王紫稼》等散文.民国《茶话》杂志第9期第94页
回复

使用道具 举报

 楼主| 发表于 2024-8-20 11:55:18 | 显示全部楼层

       《茶话》为月刊, 出版地为上海,于1946年6月创刊,存续期至1949年4月,
        责任编辑为顾冷观,吕白华,出版人(控制人)为联华图书有限公司。

             民国《茶话》杂志 封面 .jpg
        图  民国《茶话》杂志 封面
回复

使用道具 举报

 楼主| 发表于 2024-8-20 13:24:34 | 显示全部楼层
       民国作家吴绮缘的一些武侠小说短中篇,可以在《茶话》中找到,例如《濮二姑》,在民国35 年 第4期的第103-112页刊登。
       还有《义僧德悟》、《出林虎》、《威阳少年》等。

       还珠楼主的《北海屠龙记》,原来是在《茶话》初载,于民国35 年 第5期(第179-180页),开始连载。
       时间上比吴绮缘尚稍迟。
回复

使用道具 举报

发表于 2024-8-20 20:13:23 | 显示全部楼层
半剑飘东半剑西 发表于 2024-8-20 11:54
在一本文献少被提及的民国杂志上,找到还珠楼主罕见的以原名李寿民发表的作品,时间紧,来不及扫校 ...

还见到11期《前清西安外宫之狐》。这些都收录在朱清霖、顾臻整理刊行的《还珠楼主散文集》里。
回复

使用道具 举报

 楼主| 发表于 2024-8-22 12:05:02 | 显示全部楼层
半剑飘东半剑西 发表于 2024-8-20 13:24
民国作家吴绮缘的一些武侠小说短中篇,可以在《茶话》中找到,例如《濮二姑》,在民国35 年 第4期的 ...

还珠楼主为何在《茶话》初连载《北海屠龙记》?
其中的原因可从文人丹蘋对还珠楼主的谈访文章得到。
丹蘋“准备以国语和他交谈,谁知他却说的是一口柔软的苏白。原来他的老太爷曾宦游吴门,他是从小生长在苏州的。”
也就是说,籍贯为四川的还珠楼主,能说出一口纯正的“苏白”——吴侬软语。
原来还珠楼主生父李光乾(李元甫)是光绪十四年举人,官至江苏巡抚衙门文案、丹阳县局长、六合县知事。
1987年12月,丹阳撤县设市,为丹阳市,属镇江市代管。
2002年4月,经国务院批准,撤销南京市原六合县与原大厂区合并成立新的六合区。
因此,李光乾为官之处,均在江苏,现属于镇江市、南京市。
还珠楼主是李光乾与继室周氏所生长子,幼曾遂父亲在江苏读书,估计时间不短,儿童时期所学的语言,有长期记忆,因此还珠楼主能说出一口纯正“苏白”不出奇。
而还珠楼主貌似将苏州作为第二(第三?)故乡,“楼主在苏州买进了一所住宅,大概将作为他日的退居之所了。”(丹蘋语)
丹蘋至少写了两篇采访录,其中透露了他与还珠楼主认识,是受到“百新书店主人徐少鹤先生”的介绍。
百新书店,创业于1912年,创始人为江苏江阴人徐鹤龄(徐少鹤是徐鹤龄长子),

回复

使用道具 举报

 楼主| 发表于 2024-8-22 12:07:28 | 显示全部楼层
本帖最后由 半剑飘东半剑西 于 2024-8-22 22:06 编辑

         徐鹤龄于1912年,在上海福州路升平茶楼摆一书摊,以贩卖、出借旧书起家。
         1914年,在新马路(俗称新界,即今黄河路、北京西路一带)福海里设立百新公司编辑部兼发行;
         1916年在汉口路(新闻报馆对面)设总发行部,出版发行《色欲宝鉴中国血泪记》等小说书以及石印各种名人字帖。

         上世纪20年代末期,在福州路375号开设百新书店,以经营标点书籍为主。
         1932年,传给其子徐少鹤、徐稚鹤兄弟经营,在河南路(今河南中路)179号开设分店,福州路称总店。
         通过新闻报总编严独鹤的关系,获得作家张恨水的著作出版权,先后出版发行《啼笑姻缘》、《似水流年》、《夜深沉》等言情小说20余种。

         在上世纪30年代,上海市福州路已经很繁华。

                  上世纪30年代,上海市福州路街景.jpg
         图  上世纪30年代,上海市福州路街景

        徐少鹤与还珠楼主关系候补。
回复

使用道具 举报

 楼主| 发表于 2024-8-22 12:09:09 | 显示全部楼层
本帖最后由 半剑飘东半剑西 于 2024-8-22 12:17 编辑

       丹蘋经过百新书店徐少鹤介绍,与还珠楼主认识,可能相谈甚欢,在另一采访录中透露,丹蘋(可能还有同桌朋友),
       约还珠楼主为《大众夜报》和《茶话》月刊,各写一长篇武侠小说,“先生慨然诺。”
       后来,还珠楼主创作长篇武侠《柳湖侠隐》,在《大众夜报》发表。
       还珠楼主创作长篇武侠《北海屠龙记》,在《茶话》月刊初载。

       这可以解释为何还珠楼主的小说越写越多,要还“文债”。
       其中一个办法是从《蜀山剑侠传》的主角历史,往上推,写其师承。
       由此,诞生了一个宏大无比的“蜀山体系”。
       曾经有个游戏公司曾经想收齐全套“蜀山体系”、并取得游戏改编版权,先从收齐民国原版书籍开始,后来貌似不了了之(据说因为珍贵的书籍落在不同的爱书人手中,出高价也无法得之,方知读书人爱书如命)。
回复

使用道具 举报

 楼主| 发表于 2024-8-23 11:48:08 | 显示全部楼层

       徐少鹤经营的上海百新书店,一度大量销售还珠楼主的小说,但两人的关系,在文献查不到记载,只能猜测。
       天津有一家百城书店,是还珠楼主小说《蜀山剑侠传》第一集的印刷者和发行者,
       百城书店与百新书店只有一字之差,在民国中商号类似有傍大款之嫌,此情况存在于同族兄弟或结义兄弟之间(当然有例外)。

       目前从公开文献查不到天津百城书店的老板名字。
       有没有可能是徐鹤龄的宗亲在经营百城书店呢?
       从上海百新书店一度大量销售还珠楼主的小说,而总发行权在百城书店,不难推测百城书店与百新书店关系密切。
       由于此层关系,徐少鹤认识还珠楼主,也就很正常。
回复

使用道具 举报

您需要登录后才可以回帖 登录 | 点我注册

本版积分规则

QQ|Archiver|手机版|小黑屋|古龙武侠网 ( 鲁ICP备06032231号 )

GMT+8, 2025-12-23 18:19 , Processed in 0.057906 second(s), 20 queries .

Powered by Discuz! X3.5

© 2001-2025 Discuz! Team.

快速回复 返回顶部 返回列表