找回密码
 点我注册

QQ登录

只需一步,快速开始

楼主: smsjsmsj

[疑问] 环球本、武林本、《武艺》连载本《绝代双骄》的未删节文字

[复制链接]
发表于 2013-7-3 17:54:11 | 显示全部楼层
居然看得我都想来一套了……好吧我实在没时间……
回复

使用道具 举报

 楼主| 发表于 2013-7-3 23:13:26 | 显示全部楼层
smsjsmsj 发表于 2013-7-3 12:19
下文黑体字部分,为修订本所有,武艺连载本无。

小鱼儿道:“昨天我吃了人家的梨膏糖没付钱,大门己被人扛走了。”
那语声银铃般笑道:“我在外面站得腿发软,可以进来坐坐么?”
小鱼儿道:“当然可以,但你可得小心些走呀,门槛高得很,莫要弄脏你的新裙子。”
那语声道:“谢谢你啦。”

一个轻衫绿裙、鬃边斜插着朵山花的少妇,盈盈走了进来…… ...


这里环球本未脱漏黑体字部分。
回复

使用道具 举报

 楼主| 发表于 2013-7-3 23:33:48 | 显示全部楼层
删节本:
小鱼儿向燕南天和万春流恭恭敬敬行了个礼,就走了过去。花无缺已在等着他,但他却像是一点也不着急,一一向各人打招呼。然后向花无缺走了过去。花无缺望着他在向每个人诀别,心里也不知是什么滋味。
——删节本这里删去了小鱼儿与众人告别(包括轩辕三光、陈凤超、慕容双、顾人玉、小仙女,还写了铁心兰害怕小鱼儿向她走过来的心理及萧女史和铁战的对话)的大段文字,以“一一向各人打招呼”一句话代替。
回复

使用道具 举报

 楼主| 发表于 2013-7-7 23:41:55 | 显示全部楼层
本帖最后由 smsjsmsj 于 2013-7-7 23:43 编辑
smsjsmsj 发表于 2013-7-3 23:33
删节本:
小鱼儿向燕南天和万春流恭恭敬敬行了个礼,就走了过去。花无缺已在等着他,但他却像是一点也不着急,一一向各人打招呼。然后向花无缺走了过去。花无缺望着他在向每个人诀别,心里也不知是什么滋味。
——删节本这里删去了小鱼儿与众人告别(包括轩辕三光、陈凤超、慕容双、顾人玉、小仙女,还写了铁心兰害怕小鱼儿向她走过来的心理及萧女史和铁战的对话)的大段文字,以“一一向各人打招呼”一句话代替。
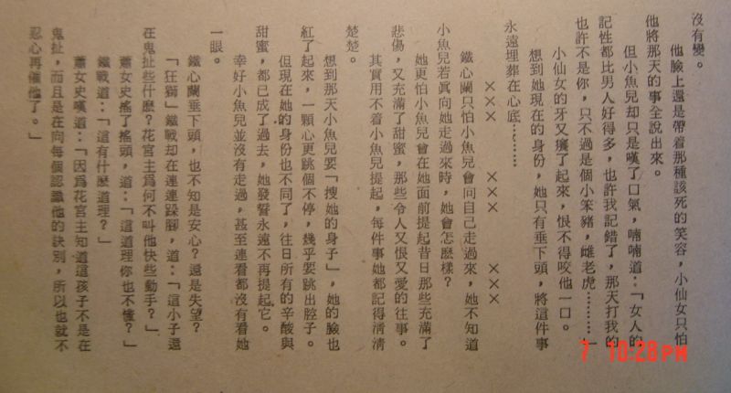
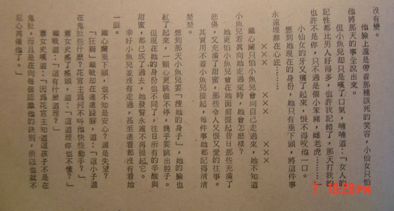
删节文字见照片
1.jpg
2.jpg
3.jpg
4.jpg
回复

使用道具 举报

发表于 2013-8-3 14:55:41 | 显示全部楼层
smsjsmsj 发表于 2013-7-7 23:41
删节文字见照片

请问武艺连载本里有倪匡代笔那部分内容吗?武艺连载本是否就是台湾春秋64小薄本的内容?
回复

使用道具 举报

 楼主| 发表于 2013-8-5 11:39:04 | 显示全部楼层
本帖最后由 smsjsmsj 于 2013-10-2 19:00 编辑
frank3393 发表于 2013-8-3 14:55
请问武艺连载本里有倪匡代笔那部分内容吗?武艺连载本是否就是台湾春秋64小薄本的内容?


没有倪匡代笔部分,那个只见于《武侠与历史》连载,春秋本已删去。
《武艺》杂志虽然和春秋出版社是一回事,但《武艺》连载《绝代双骄》的时间却是在春秋本出版(1966开始)十一年之后(1977开始)。当时香港武侠春秋出版社连载了《绝代双骄》(1976开始),春秋出版社指责其侵权,所以在《武艺》杂志上连载授权版本。
这个《武艺》连载本个别地方有脱漏(参见16楼),春秋本应该是不漏的。但总体上《武艺》连载本等于春秋本。
《绝代双骄》的三种连载本:《武侠与历史》连载本、《武侠春秋》连载本、《武艺》连载本全都是未删节本。
回复

使用道具 举报

发表于 2013-8-5 14:04:01 | 显示全部楼层
smsjsmsj 发表于 2013-8-5 11:39
没有倪匡代笔部分,那个只见于《武侠与历史》连载,春秋本已删去。
《武艺》杂志虽然和春秋出版社是一 ...

明白了,非常感谢这么详尽的释疑!
回复

使用道具 举报

发表于 2013-8-7 19:45:16 | 显示全部楼层
已购得武艺连载本,确实是旧版风貌,少许脱漏应该是校勘之误吧。
但一般环球本编辑会对旧版的字句、标题进行一定程度的篡改,如《流星蝴蝶剑》,但不知《绝代双骄》如何?
回复

使用道具 举报

 楼主| 发表于 2013-8-15 20:28:02 | 显示全部楼层
本帖最后由 smsjsmsj 于 2013-8-15 20:30 编辑
让你飞 发表于 2013-8-7 19:45
已购得武艺连载本,确实是旧版风貌,少许脱漏应该是校勘之误吧。
但一般环球本编辑会对旧版的字句、标题进行一定程度的篡改,如《流星蝴蝶剑》,但不知《绝代双骄》如何?


标题上来就是刀下遗孤,然后是第一神箭……肯定是动过了。正文倒没见什么改动。
不过,那四字标题本来也是后来随便乱起的吧,记得弄巧反拙就重复出现了三次。
回复

使用道具 举报

发表于 2013-8-15 22:28:11 | 显示全部楼层
smsjsmsj 发表于 2013-8-15 20:28
标题上来就是刀下遗孤,然后是第一神箭……肯定是动过了。正文倒没见什么改动。
不过,那四字标题本来 ...

对的,标题无所谓,正文没动过就值得收一套。
回复

使用道具 举报

您需要登录后才可以回帖 登录 | 点我注册

本版积分规则

QQ|Archiver|手机版|小黑屋|古龙武侠网 ( 鲁ICP备06032231号 )

GMT+8, 2025-10-27 02:46 , Processed in 0.042482 second(s), 17 queries .

Powered by Discuz! X3.5

© 2001-2025 Discuz! Team.

快速回复 返回顶部 返回列表